Line Spectral Pair (Itakura, 1979) es un método de parametrización, o cuantización de una señal de voz que parte del ya mencionado Linear Predictive Coding. Se genera a partir de la ecuación (1) del filtro A(z) que representa el tracto vocal.
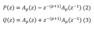
Se plantea que en el polinomio de los coeficientes del filtro se agregan un par de elementos P(z) y Q(z) que representan la glotis en el momento de abrirse y de cerrarse respectivamente. De ahí que uno lleve signo positivo y otro negativo, se representa como (2) y (3)
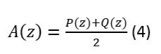
Donde P(z) y Q(z) se relacionan con (1) de la siguiente forma:
En la práctica, la glotis nunca está totalmente cerrada ni totalmente abierta (McLoughlin, 2009). Esto significa que los polinomios añadidos son al final de cuentas más elementos para cuantizar nuestra señal de voz, consiguiendo darle más naturalidad que cuando se limita a la representación con coeficientes LPC.
Otra ventaja que tiene este sistema de parametrización es que las raíces del polinomio (2) corresponden específicamente a las frecuencias formantes de la señal de voz parametrizada. A partir de ahí podemos llevar a cabo reconocimiento y/o síntesis de voz. A éste conjunto de frecuencias obtenidas se le conoce como Line Spectral Frequencies o LSF.
La figura 1. Muestra gráficamente la comparación entre LPC y LSP. La gráfica azul está formada a partir de los valores en LPC y los puntos rojos y verdes corresponden a P(z) y Q(z) respectivamente. Podemos apreciar una mayor cantidad de puntos cuando se incluyen los polinomios, esto en la práctica nos da una representación de señal de voz mucho más completa que al utilizar LPC.
Figura 1. Representación gráfica de LSP contra LPC
El audio a continuación nos permite escuchar una señal de voz orignal y su versión sintetizada utilizando LSP como parametrización.
Referencias
Itakura, F. (1975). Line spectrum representation of linear predictor coefficients of speech signals. The Journal of the Acoustical Society of America, 57(S1), S35-S35.
McLoughlin, I. V. (2008). Line spectral pairs. Signal processing, 88(3), 448-467.


